Notes for EMMA ELIZABETH "LIBBIT" VELSOR PAINTER:
Daughter of John Dudley and Sarah Amelia (Nichols) Velsor.
Last Name: Also found as Van Velsor.
Born: January 17, 1865 in Oyster Bay, Nassau County, Long Island, New York.
Died: April 22, 1957 in Oyster Bay, Nassau County, Long Island, New York.
Buried: By daughter Helen at Memorial Church of St. John's, Laurel Hollow, New York.
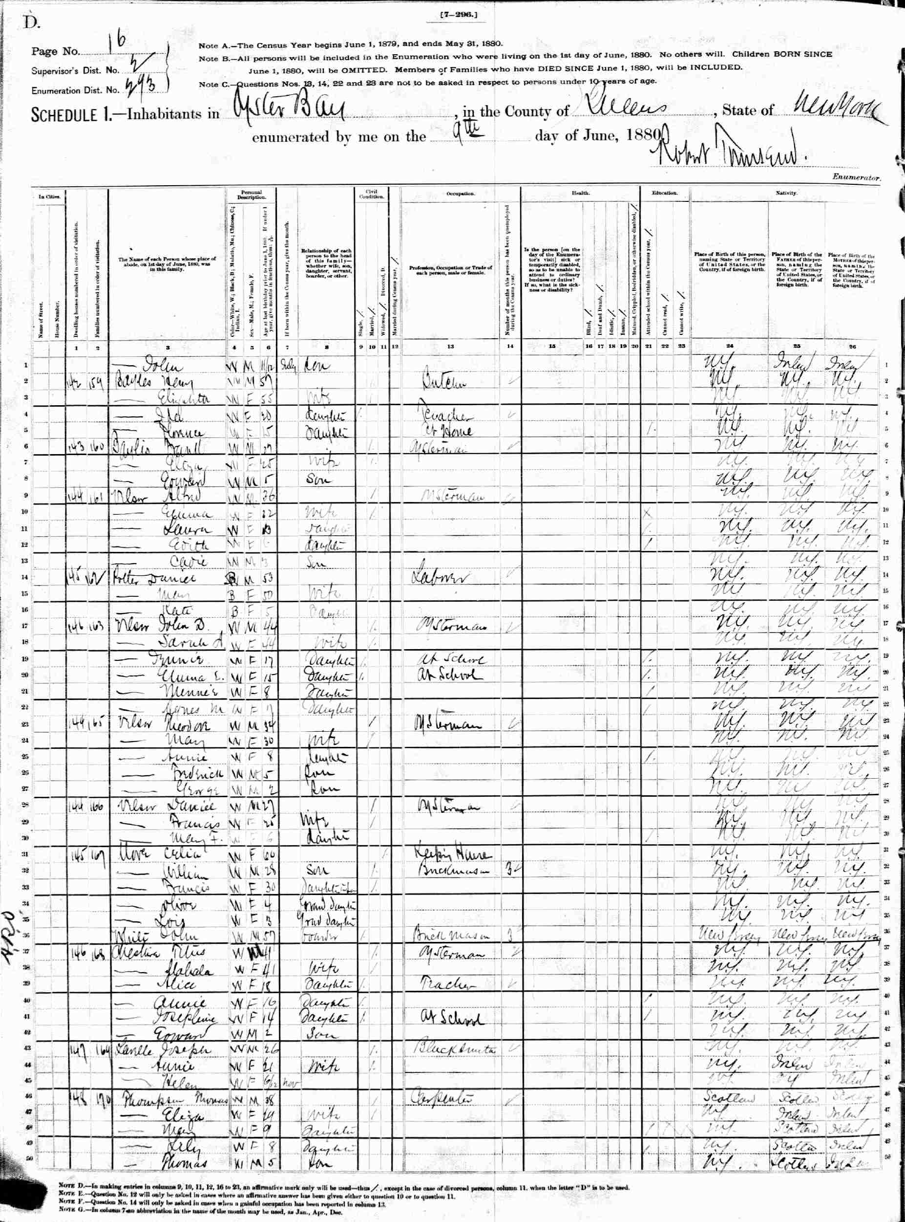
Census:
June 11, 1870 - Oyster Bay, Queens County, Long Island, New York.
June 6, 1880 - Supervisor District 2, Enumeration District 293, Oyster Bay, Queens County, New York.
February 16, 1892 - Election District 7, Oyster Bay, Queens County, New York.
June 1, 1900 - Supervisor's District 2, Enumeration District 725, Oyster Bay, Nassau County, New York.
April 16, 1910 - South Street, Election District 7, Supervisor's District 2, Enumeration District 1137, Oyster Bay, Nassau County, New York.
June 1, 1915 - New York State - Orchard Street, Assembly District 1, Election District 7, Oyster Bay, Nassau County, New York.
January 23, 1920 - South Street, Election District 7, Supervisor's District 6, Enumeration District 66, Oyster Bay, Nassau County, New York.
June 1, 1925 - New York State - 206 South Street, Assembly District 2, Election District 21, Oyster Bay, Nassau County, New York.
April 9-10, 1930 - 206 South Street, Supervisor's District 36, Enumeration District 30-199, Oyster Bay, Nassau County, New York.
May 6-7, 1940 - 199 Linden Street, Supervisor's District 1, Enumeration District 30-227, North Hempstead, Mineola, Nassau County, New York.
Married: Charles Chester Painter November 27, 1890 in Oyster Bay, Nassau County, Long Island, New York.
Charles and Emma were 1st cousin once removed. His mother, Naomi, is Emma's Great-Aunt.