Notes for GEORGE WASHINGTON WHITE:

Son of Thomas and Amelia (Van Velsor) White, Sr.
Born: February 22, 1834 in Oyster Bay, Nassau County, New York.
Died: July 1, 1905 in in Oyster Bay, Nassau County, New York. (Death Certificate: #28181.)
Buried: Memorial Cemetery of Saint John's Church, Laurel Hollow, Nassau County, New York.
Census:
August 19, 1850 - Oyster Bay, Queens County (now Nassau County), New York.
July 21, 1860 - Glen Cove, Oyster Bay, Queens County (now Nassau County), New York.
June 10, 1870 - Oyster Bay, Queens County (now Nassau), Long Island, New York.
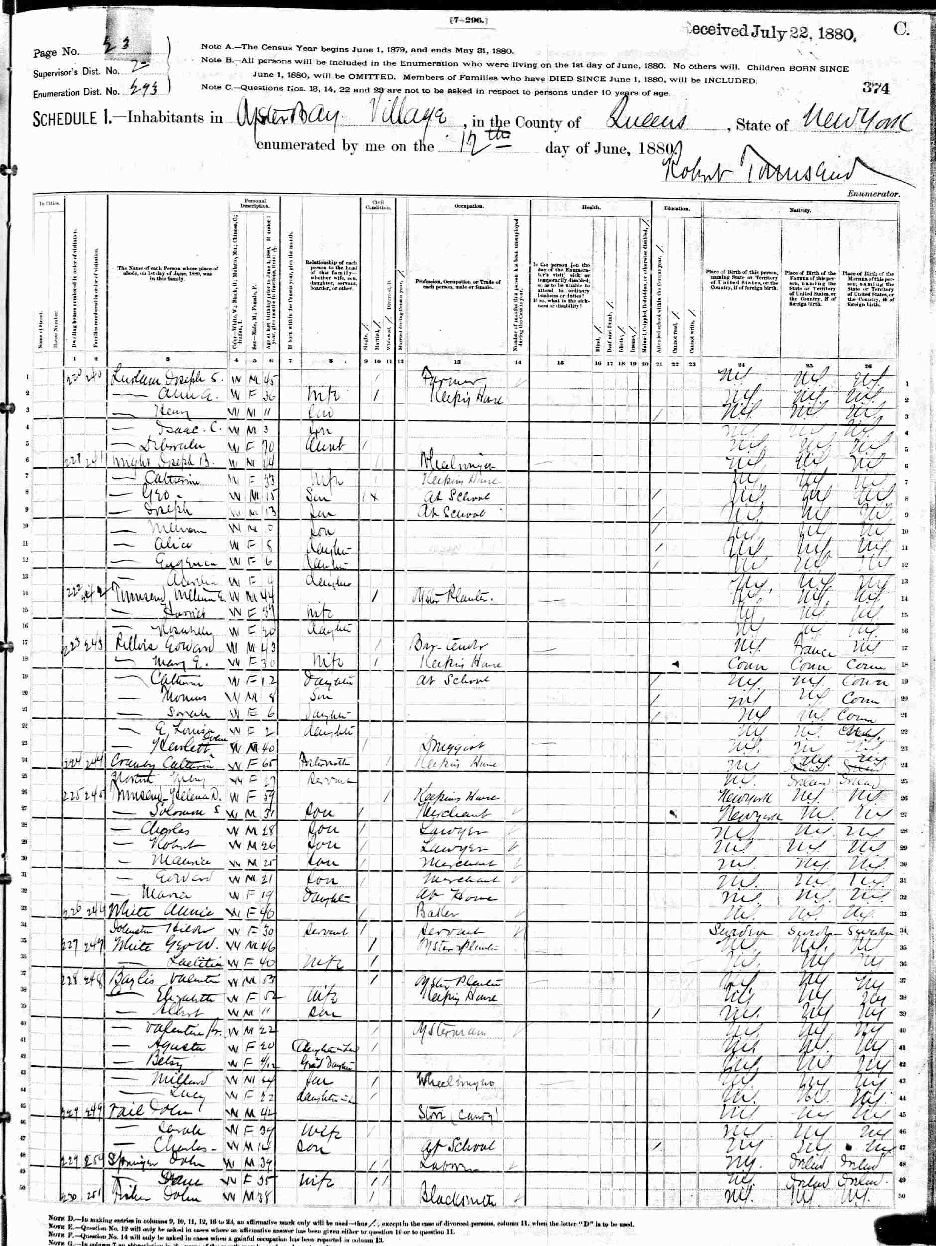
June 12, 1880 - Supervisor's District 2, Enumeration District 293, Oyster Bay, Queens County (now Nassau), New York.
June 22, 1900 - White Street, Supervisor's District 2, Enumeration District 723, Oyster Bay Township, Nassau County, New York.
Occupation:
July 21, 1860 - None listed.
June 10, 1870 - Oyster Planter.
June 12, 1880 - Oyster Planter.
June 22, 1900 - Retired.
Married: Letitia Bailey About 1860 in Oyster Bay, Nassau County, Long Island, New York.


1850 Census

1860 Census


1870 Census


1880 Census


1900 Census


Gravestone

(Source: findagrave.com/DMC)